Die interne Verlinkung von Webseiten spielt eine bedeutende Rolle für das Ranking in Google und anderen Suchmaschinen. Es kommt darauf an, die wichtigsten Seiten durch eine entsprechende Verlinkung mit Hilfe einer geeigneten Navigationsstruktur und zusätzlicher Verweise zu unterstützen. Der interne PageRank ist in diesem Zusammenhang eine wichtige und sehr oft unterschätzte SEO-Kennzahl. Die Analyse dieser Kennzahl ist mit Hilfe zweier Tools recht einfach durchzuführen. Die Ergebnisse können interessante Überraschungen bereithalten.
Dass die interne Verlinkung zu den Grundlagen der Onpage-Optimierung zählt, ist nichts Neues. Es gibt verschiedene Methoden, mit denen man auf die Linkstruktur einer Webseite Einfluss nehmen kann: Der wichtigste Ansatzpunkt ist die Navigationsstruktur in Verbindung mit der Seitenhierarchie. Es geht darum, wie die Gliederung der Webseite augebaut ist. Normalerweise wird eine baumartige Struktur empfohlen: Ausgehend von der Startseite gibt es auf der nächsttieferen Ebene einzelne Kategorien, die wiederum in Unterkategorien aufgeteilt sind. Danach folgen entweder eine weitere Ebene mit Unterkategorien oder die einzelnen Landing Pages, die "Blätter" des Baumes.
Diese Baumstruktur hilft dabei, den Fluss der Links von der Spitze bis auf die unerste Ebene zu optimieren. Das ist nicht nur für die Nutzer der Webseite von Vorteil, die sich durch solch einen geordneten Aufbau besser auf der Webseite zurecht finden; auch die Crawler der Suchmaschinen haben es dadurch einfacher, möglichst viele Unterseiten zu erreichen. Ergänzen kann man solche Strukturen durch horizontale Links, die einzelne Äste auf den unteren Ebenen miteinander verbinden, indem zum Beispiel ähnliche Artikel aufeinander verweisen.
Neben der Optimierung der Crawlbarkeit hat die interne Verlinkung noch einen weiteren Nutzen: Mit ihrer Hilfe kann die Bedeutung einzelner Seiten erhöht und die anderer Seiten reduziert werden - ganz so, wie es im Sinne des Webseitenbetreibers gewünscht ist. Auf den ersten Blick ist es aber nicht ohne Weiteres möglich zu erkennen, welche Seiten intern am besten verlinkt sind. Neben der Anzahl der Links, die auf eine bestimmte Seite verweisen (Quantität der Links), kommt es auch noch auf die Stärke der jeweiligen Links an (Qualität der Links). Zur Berechnung der internen Verlinkung kann man sich einer sehr bekannten Kennzahl bedienen: Der PageRank kann nämlich auch auf Ebene einzelner Webseiten bestimmt werden.
Der PageRank aus wissenschaftlicher Sicht
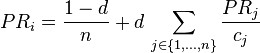
Der PageRank wurde im Jahr 1996 von den Google-Gründern Larry Page (daher der Name) und Sergey Brin entwickelt. Zwar gab es bereits in den 50er Jahren ähnliche Ansätze im Bereich der Soziometrie, doch waren es Page und Brin, welche den Algorithmus entwickelten und für die Bewertung von Dokumenten im Netz einsetzen. Die Formel lautet wie folgt:

Bild: Wikipedia
Der PageRank (PR) einer Seite i berechnet sich aus der Summe der PageRanks der Seiten j, die auf sie verweisen. Dabei ist der PageRank von i umso höher, je größer die Gewichte von PR(j) sind. Der PageRank, der von j auf i übertragen wird, wird noch jeweils durch die Zahl der ausgehenden Links von j geteilt.
In dieser Formel kommen noch zwei weitere Größen vor: Während n die Gesamtzahl der Dokumente im Netz darstellt, handelt es sich bei d um einen sogenanten Dämpfungsfaktor, mit Hilfe dessen ein kleiner Teil des Gewichts von jedem ausgehenden Link abgezogen wird. Das ist notwendig, damit nicht der gesamte PageRank zu solchen Seiten abfließt, die selbst auf keine anderen Seiten verweisen.
Die Formel selbst ist rekursiv, das heißt, es gibt zirkuläre Abhängigkeiten. Die Berechnung des PageRanks aller Seiten in einem System erfolgt also in Schleifen bzw. in Iterationen.
Der PageRank einfach erklärt
Letztendlich sagt der PageRank aus, wie prominent ein Dokument bzw. eine Webseite im Netz ist. Umso mehr Seiten auf eine bestimmte Seite verweisen und umso prominenter die verweisenden Seiten sind, desto höher ist letztendlich der PageRank. Das gilt insbesondere dann, wenn die Seiten, von denen die Links stammen, nur auf wenige andere Seiten verlinken.

Man kann den PageRank aber auch so erklären: Ein Nutzer im Internet ruft eine bestimmte Seite auf und folgt den Links auf dieser und allen anderen Seiten, die er findet, in einem zufälligen Muster. Auf diese Weise besucht der Nutzer eine bestimmte Reihenfolge von Seiten. Je höher jetzt der PageRank einer bestimmten Seite ist, desto größer ist auch die Wahrscheinlichkeit, dass der Nutzer bei seiner Zufallsreise durchs Netz auf dieser Seite landet.
Der interne PageRank
Der PageRank lässt sich für bestimmte Systeme bzw. Netzwerke von Dokumenten berechnen. Dabei kann es sich entweder um das WWW handeln, aber auch um kleinere Systeme wie zum Beispiel eine einzelne Webseite, die, bestehend aus einzelnen Unterseiten, ebenfalls als Netzwerk von Dokumenten betrachtet werden kann. Was man bei der Analyse des internen PageRanks erkennen kann, ist klar: Seiten mit einem hohen PageRank haben demnach eine prominentere Position als Seiten mit einem niedrigen PageRank.
Normalerweise wird man sich wünschen, dass Unterseiten mit einer hohen Umsatz- oder Erfolgsrelevanz einen entsprechend hohen internen PageRank besitzen, andere Seiten wie das Impressum oder die Datenschutzerklärung jedoch nicht.
Leider lässt sich der interne PageRank jedoch nicht ohne Weiteres erkennen. Man kann zwar abschätzen, auf welche Unterseiten viele Links zeigen und auf welche weniger, aber das alleine genügt nicht, wie aus den obigen Ausführungen klargeworden ist.
Mit Hilfe zweier Tools ist es jdoch recht einfach möglich, den internen PageRank aller Unterseiten schnell zu bestimmen.
Berechung des internen PageRanks
Alles, was man zur Berechnung des internen PageRanks benötigt, sind zwei Tools: den Crawler Screaming Frog und R, ein System für statistische Berechnungen, das man kostenlos für verschiedene Betriebssysteme herunterladen kann.
Im ersten Schritt muss die zu prüfende Webseite mit Screaming Frog gecrawlt werden. Anschließend führt man einen Bulk-Export aller ausgehenden Links aus. Als Dateiformat ist .csv zu wählen. Das ist wichtig für die spätere Verarbeitung der Daten.

Als nächsten Schritt muss man sich R installieren. Downloadmöglichkeiten gibt es hier. Die Installation ist sehr einfach. In Windows lässt sich der Installationsassistent beispielsweise durch einfaches Aufrufen der heruntergeladenen .exe starten.
Zudem wird noch die igraph-Bibliothek für R benötigt. Dazu muss man nach dem Start von R einfach den folgenden Befehl in die Konsole eingeben. R lädt sich dann alle benötigten Dateien herunter:
install.packages("igraph")
Sobald die Bibliothek installiert ist, kann man R zur Verarbeitung der zuvor exportierten Links und zur Berechnung des internen PageRanks für alle Seiten verwenden. Nachfolgend ist der Code zu sehen, den man dazu in die Konsole eingegen muss. Wichtig: Zuvor müssen noch einige Ersetzungen vorgenommen werden. Welche das sind, kann den jeweiligen Kommentaren entnommen werden:
library("igraph")
# Pfad zum Screaming-Frog-Export. Achtung: Bei Windows müssen statt Backslashes Forward-Slashes verwendet werden.
links <- read.csv("C:\all_outlinks.csv", skip = 1) # CSV Pfad
# Optionale Codezeile, die für das Ausfilern von JavaScript, CSS und Bildern sorgt.
links <- subset(links, Type=="HREF") # Optional für das Filtern
links <- subset(links, Follow=="true")
links <- subset(links, select=c(Source,Destination))
g <- graph.data.frame(links)
pr <- page.rank(g, algo = "prpack", vids = V(g), directed = TRUE, damping = 0.85)
values <- data.frame(pr$vector)
values$names <- rownames(values)
row.names(values) <- NULL
values <- values[c(2,1)]
names(values)[1] <- "url"
names(values)[2] <- "pr"
# 'domain' und 'com' je nach Adresse der Webseite ersetzen
values <- values[grepl("https?:\\/\\/(.*\\.)?domain\\.com.*", values$url),] # Domainfilter.
# Durch gewünschten Datenamen ersetzen
write.csv(values, file = "C:/output.csv") # Ausgabedatei
Vielen Dank an Paul Shapiro / Search Engine Land
Wenn alles geklappt hat, schreibt R eine CSV-Datei mit allen Domains und den zugehörigen internen PageRanks in den gewünschten Pfad.
Verblüffende Ergebnisse
Eine beispielhafte Analyse des internen PageRanks für SEO Südwest brachte interessante und verblüffende Ergebnisse. Wie zu erwarten war, steht die Homepage auf Platz eins. Danach folgt jedoch eine Seite, die thematisch nicht ins Bild eines SEO-Portals passt:

Dieser Effekt wird von den Einblendungen aus den Kategorien "Blog" sowie "Tipps & Tricks" verursacht, die auf fast jeder Unterseite zu finden sind. Ähnliche Effekte wird es vermutlich auf den meisten Webseiten geben. Mit der Berechnung des internen PageRanks hat man jetzt die Möglichkeit, diese Effekte aufzuzeigen.
Fazit
Der PageRank ist nicht nur für die Bewertung von Webseiten im WWW, sondern auch für die Priorisierung von Landing Pages auf Webseiten eine wichtige Kennzahl. Durch die Berechnung des internen PageRanks kann man erkennen, ob die Seiten mit der höchsten Priorität auch entsprechend verlinkt sind.


























